近日,西安光机所瞬态光学与光子技术国家重点实验室非线性光学及应用课题组在亚散粒噪声精密测量领域研究取得重要进展,相关成果以“tolerance enhancement of inefficient detection and frequency detuning by non-perfect phase-sensitive amplification in broadband squeezing-based precision measurement”为题发表在国际著名光学期刊journal of the optical society of america b,并被选为editor`s pick(编辑精选)文章。(editor's picks serve to highlight articles with excellent scientific quality and are representative of the work taking place in a specific field.)
标准量子极限是经典测量技术所能达到的最小测量极限。随着引力波等微弱信号探测需求的增长,如何突破标准量子极限实现更高精度测量是精密测量领域的重要科学问题。作为最实用和最有效的量子计量资源之一,压缩态能使测量精度突破散粒噪声极限并逼近海森堡极限,可以为精密测量领域带来革命性突破。
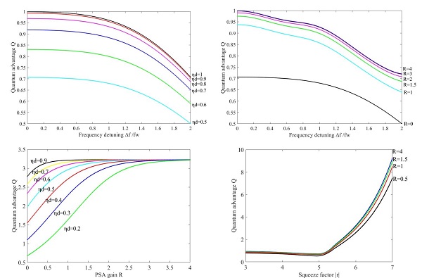
然而压缩态的低鲁棒性限制了它在复杂环境中的应用,且探测器的非理想探测效率也会导致其量子优势无法充分体现。对此,研究人员提出使用光参量放大器(opa)对微弱信号进行预放大来克服由于低探测效率引起的检测损失。由于存在量子涨落现象,经典放大器的放大过程会伴随着散粒噪声引入,导致噪声指数nf>3db。因此,突破这一固有限制是微弱信号精密测量亟需解决的重点与难点。
基于以上关键问题,该课题组开展了基于二阶非线性的相位敏感光参量放大器(psa)相关研究。psa以其在放大过程中不引入新的噪声的独有特性,可实现对微弱信号无噪放大,有望助力光学精密测量技术实现新的突破。

图1. 基于压缩态的亚散粒噪声量子测量方案示意图

图2. 探测器检测效率,频率失谐量,压缩度和相位敏感增益等参数对系统量子优势的影响
西安光机所非线性光学及应用课题组近年来对微弱信号探测及弱光成像技术进行了深入的研究并取得一定的突破。应用非线性光学效应可以有效解决弱信号探测及成像领域因背景噪声强、探测器低灵敏度等因素而导致难以有效探测识别微弱信号的技术瓶颈问题,该课题组已形成光学随机共振弱光图像重构技术、中红外上转换高灵敏探测技术以及相位敏感弱信号放大等关键技术的研究能力,相关研究成果近期先后发表在optics express、ieee photonics journal、nanomaterials、journal of the optical society of america b等国际知名期刊上,得到了国内外同行专家的认可和积极的评价。

